相对论表明“达到光速时间静止”,时间静止了人还会饿肚子吗?
- 2024-10-24 11:04
- 阅读 208
狭义相对论,常被误解为简单的字面含义。很多人只是浅尝辄止,未能深入探寻其内在的智慧。爱因斯坦的杰作,其实需要我们用心去品味,去理解其背后的深层含义,方能领略其真正的魅力。
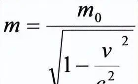
狭义相对论里,时间膨胀和尺缩效应好似调皮的小精灵。速度越快,时间就越调皮地放慢脚步。想象一艘飞船,若其速度逼近光速,时间似乎就赖着不动了。那么,你若是飞船的乘客,时间是否也会在你身边悄然静止呢?
首先,让我们明确一点,飞船追逐光速只是个遥不可及的梦想。爱因斯坦的相对论早已揭示了这一奥秘:速度提升,质量也跟着飙升。一旦触及光速,质量将趋于无穷,这在现实中是绝无可能的。毕竟,整个宇宙的物质总量也达不到这种极限。
试想,若飞船驰骋,其速度直逼光速之境,你的时光是否会变得迟缓,乃至近乎凝滞?这奇幻的设想,是否让你心生好奇,渴望一探究竟?
时间的快慢,真的得看咱们站在哪个视角。站在我这静止不动的地面上,我得说,你的时间可真是在悄悄变慢呢。至于慢了多少,那就得看你离那光速有多近了,这可是个秘密哦!
在我看来,你的每个瞬间都仿佛被拉长,如同电影中的慢镜头。别人打喷嚏只需几秒,而你,却仿佛在演绎一出慢动作大戏,喷嚏声拖得悠长,仿佛要几分钟甚至更久才能落幕。
飞船内的你并不会察觉时间流速的改变,打喷嚏的瞬间与地球无异。你仿佛置身于日常,一切感知如常,时间并未对你放缓脚步。即便时间似乎停滞,你的饥饿感也未曾因之而降临。
我们的感受各有千秋,但这并不冲突。你没错,我也没错,我们只是以不同的视角去触摸同一件事,自然得出不同的结论。我们都是对的,只是立场不同罢了。
狭义相对论揭示了一个有趣的秘密:相对性无处不在。就像你我站在不同的角度,看同一件事的观感自然大相径庭。时间、空间的间隔也是如此,因为我们的评判标准各异,得出的结论自然各有千秋。
其实,这就是“双生子佯谬”里的小插曲。你看,你和我,各自守着自己的时间就好,别人的时间,咱们就别操心了。比较不同参照系下的时间快慢,简直就是在找茬。咱们得回到同一个参照系里,那才是真有意义的比较。
双生子佯谬中,弟弟发现亚光速飞行的哥哥更年轻,而哥哥也惊讶于地球上的弟弟显得年轻。两者都没错,因为他们处在不同的参照系。就像看同一幅画,站的角度不同,看到的风景也各异,没有绝对的对错之分。
哥哥驾驶飞船重返地球,与弟弟再次相聚,此刻他们的对比才显得有意义。结果令人惊讶,哥哥显得更为年轻,而弟弟却已显老态。至于其中缘由,之前的科普文章已有详解,此处便不再赘述。
你知道吗?那光速真是个霸道的家伙,无论你如何拼命追赶,它都轻盈地溜走,始终与你保持着光速的距离。这就是它的规矩,不是爱因斯坦定的,更像是宇宙的秘密法则,我们都得接受。
别试图和光速赛跑,那简直是自找没趣。光可是宇宙中的速度之王,咱们这些凡人怎么可能比得过呢?还是认清现实,好好享受生活中的美好时光吧!
速度越快,时间仿佛变得悠然;这不过是相对效应在作祟,得有双重参照系才能窥见端倪。若仅凭单一视角,任凭速度飞驰或蜗行,时间的流转始终如一,你我都难以察觉其微妙变化。
当飞船追逐光速,时间并非静止,而是彻底消失。一旦飞船触及光速,外界的一切都将化为虚无,不复存在。时间与空间同时消散,万物归于虚无,一切都变得没有意义。
光速翱翔,时间已失意义。倘若飞船尚存,定以超时空之姿展现,其存在之奥秘,我们无从窥探。它或许静静地悬浮于宇宙之中,不受时间束缚,等待未来的探索者揭开它的神秘面纱。
人们常说“光非四维之物”,此言非虚。光既无时间之概念,亦无空间之界限,而我们生于时空,存于四维。光既无时空之属性,自然难归四维之列。如此看来,光与四维时空,实乃异路同归。

发布评论
还能输入 140字
用户评论